Problem-solving is a fundamental activity in any type of organization. The knowledge-based theory of the firm has argued that problem-solving effectiveness is key to superior organizational performance (Nickerson & Zenger, 2004; Nonaka, 1994; Nonaka & von Krogh, 2009). To solve problems, while employees often engage in various attempts on their own (Sheppard et al., 2006; Stokes, 2014), it is also common for them to ask help from colleagues or supervisors to resolve difficult problems (Hargadon & Bechky, 2006; Rodan & Galunic, 2004; Shah et al., 2018).
Against this background, this study investigates the benefit of brokerage positions in communication networks in a workplace to solve problems by exploiting novel, high-frequency communication data collected by wearable sensor technology. With respect to problem-solving in the communication network, many studies have emphasized the importance of brokerage regarding efficient information gathering within the networks. Brokerage refers to connecting unrelated individuals in a network. When agents are well placed at the brokerage position in a network, they have access to nonredundant knowledge effectively (Fleming et al., 2007; Sapsed et al., 2007) and collect a wide range of information in a short time (Aral & Van Alstyne, 2011; Goldberg et al., 2016; Zaheer & Soda, 2009).
The aforementioned studies conceptualize the network as relational states (Borgatti & Halgin, 2011) based on long-term relationships and mainly focus on the static aspects of the role of brokerage in problem-solving. However, communication for problem-solving is not necessarily conducted based on long-term social relationships. Rather, depending on the nature of the problem, employees communicate with their colleagues on a case-by-case basis. Thus, the problem-solving network can be interpreted as a relational event network (Borgatti & Halgin, 2011), and the communication partners should be dynamically changed on the problem basis (Quintane & Carnabuci, 2016) as the nature of the problems changes.
As such, problem-solving networks are formed corresponding to the problems that each employee is currently facing. Hence, information collected through the current network is not necessarily useful for future problems, and thus, the current brokerage may not affect future problem-solving events. The feature and role of brokerage in such a dynamic relational event network have not been sufficiently analyzed in previous studies. One of the reasons for this lack of research on network dynamics in the problem-solving network is due to the difficulty in collecting high-frequency dynamic network data and individual performance records.
Against this background, the purpose of this study is to investigate the dynamics of brokerage in problem-solving networks and the role of brokerage in productivity. To meet this end, the research questions are set up as follows:
First, do the communication partners in the problem-solving network change dynamically on the problem basis?
Second, with the change in communication partners in the problem-solving network, does the employee located in the brokerage also change over time?
Third, is there any difference between the impact of current brokerage on current productivity and future productivity?
To analyze the dynamics in problem-solving networks, this study uses novel network data collected by wearable sensors. Recent developments in sensor technology have enabled the collection of high-frequency data related to communication behaviors among individuals. Examples that have been widely used in face-to-face communication analysis include the Business Microscope of Hitachi, Ltd. (e.g., Wakisaka et al., 2009; Yano, 2013) and n-tag and sociometric badges from MIT (e.g., Ingram & Morris, 2007; Olguín & Pentland, 2008; Pentland, 2012).
We used wearable sensors to collect communication data among the employees of a company (hereafter, Company A) that provides IT system-supporting services to corporate customers. We collected minute-level communication records among employees at two company offices over three workweeks each. In addition, Company A collects employees’ individual performance measures at a high frequency (more detailed than the daily level). These accurate, objective, and high-frequency data enabled us to precisely estimate how aspects of communication dynamics regarding problem-solving networks impact an employee’s performance by facilitating problem-solving.
We find three key results. First, an employee’s communication partners differ from one week to the next. Second, the positioning brokerage for each employee also varies from week to week. These results suggest that the problem-solving network dynamically changes on the problem basis. Third, while we find a positive and substantial impact of current brokerage on current employees’ productivity, current brokerage does not have any impact on future productivity. Since the required knowledge and information differ depending on the nature of the problem and the problem-solving network is reshaped frequently, locating a brokerage position in the current communication network can facilitate the collection of appropriate information to solve the current problem but not any future problems. These findings support our theory that the brokerage position in a dynamic problem-solving network is only temporarily beneficial, that is, the benefit is not permanent.
There are literature on the dynamic features of problem-solving networks (Baum et al., 2012; Burt, 2002; Burt & Merluzzi, 2016; Sasovova et al., 2010; Soda et al., 2004; Stovel et al., 2011). For example, Soda et al. (2004) found that the benefit of brokerage attenuates over time. However, all these studies focus on long-term relationships. Few studies have investigated the dynamic properties of problem-solving networks as relational events. As an exception, Quintane and Carnabuci (2016) documented how brokers broker information on relational event networks using email data. However, there is still room to examine the dynamic impact of brokerage on employees’ performance in relational event networks. By exploiting novel dynamic relational event network data and well-defined, high-frequency individual performance data, this paper provides new evidence on the dynamic role of brokerage in the problem-solving network.
This study also contributes to the literature on face-to-face communication analysis in a workplace using wearable sensors. Previous analyses using wearable sensors focused on routines in manual-based task workplaces such as call centers (e.g., Yano, 2013). An exception is the study by Wu et al. (2008), which focused on the offices of a developing IT configuration company. Our research is unique in that we identify the impact of face-to-face communication on productivity in knowledge-intensive workplaces and the dynamic impacts of brokerage in the workplace.
As the knowledge-based theory of the firm argues, the problem-solving effectiveness is the fundamental determinant of the performance of any type of organization (Nickerson & Zenger, 2004; Nonaka, 1994; Nonaka & von Krogh, 2009). In knowledge-intensive offices vis-a-vis routine workplaces, organizational performance fully depends on problem-solving effectiveness (Alvesson, 2004; Cross & Cummings, 2004; Vincenti, 1990). To solve problems, employees personally engage in various efforts (Sheppard et al., 2006; Stokes, 2014). However, it is also common for employees to ask their colleagues or supervisors for help when dealing with difficult problems. In such cases, colleagues generally provide constructive criticism and new insights (Hargadon & Bechky, 2006, Shah et al., 2018) that could help the employee solve the problem (Rodan & Galunic, 2004). Previous studies have shown that positioning at the center of such networks facilitates the efficacy of problem-solving (Ahuja et al., 2003; Baldwin et al., 1997; Burt, 1992; Sparrowe et al., 2001).
Problem-solving networks create new value by combining the various types of knowledge and ideas held by each employee (Rodan & Galunic, 2004; Shah et al., 2018). In this way, seeking assistance from colleagues allows employees to cope with problems and serves as a crucial part of the knowledge-intensive workplace (Hargadon & Bechky, 2006), as such problem-solving networks involve intense dialog and high levels of cognitive action when dealing with nonroutine aspects of problems (Casciaro & Lobo, 2008; Cross & Sproull, 2004). In essence, problem-solving networks are characterized as informal ties that are intentionally formed and do not necessarily coincide with social relationships (Casciaro et al., 2014; Marineau et al., 2018; Soda et al., 2018). In other words, problem-solving networks are formed on a case-by-case basis depending on the problem being addressed.
According to Borgatti and Halgin (2011), social networks are classified as relational states and relational events. Relational states are ties that persist over time. That said, they are not necessarily permanent relationships, but they do exist over a longer time span. For example, kinships and friendship networks can be categorized as relational states. However, relational events are transitory ties. For example, the exchange of conversations and emails is categorized as a relational event network. As previously discussed, a problem-solving network is instantaneously formed on a case-by-case basis depending on the problem. Based on these features, a problem-solving network is classified as a relational event.
Various studies have emphasized the importance of brokerage for the efficiency of information gathering in networks. Brokerage is defined as the bridging of unconnected agents in a network (e.g., see Kwon et al. (2020) for an extensive literature review). Thus, by positioning brokerage, agents can efficiently access diverse information (Aral & Van Alstyne, 2011; Goldberg et al., 2016; Zaheer & Soda, 2009). While the role of brokerage in the intellectual workplace has been examined for cases related to innovation and R&D (Hargadon & Sutton, 1997; Reagans & Zuckerman, 2001; Rodan & Gallunic, 2004), brokerage is also known to be important in the context of problem-solving (Lazer & Friedman, 2007; Van Alstyne & Brynjolfsson, 2005). For example, brokerage is effective in exploratory information gathering (Wang et al., 2014), and it also provides access to useful and nonredundant knowledge (Fleming et al., 2007; Sapsed et al., 2007). Furthermore, brokerage has the capability to integrate dispersed knowledge in a network (Balachandran & Hernandez, 2018; Rodan & Galunic, 2004).
However, all of those studies are based on static network data, and thus, they lack a dynamic perspective. As previously mentioned, a problem-solving network is a relational event network that is created based on the occurrence of a specific problem. This means that the necessary information varies depending on the nature of the problem and is subject to change on a problem basis. Furthermore, there are multiple employees in an office who face problems, and they communicate simultaneously with their colleagues. In such a situation, the form of the network changes on a problem basis that employees face. Even though an employee can position in a brokerage to solve the current problem, they may not necessarily be able to solve their next problem, which will have a different nature. The question, therefore, is what role brokerage plays in a dynamic problem-solving network.
The role of brokerage in dynamic networks, which has been studied primarily from the perspective of the relational state network, indicates that ties that bridge structural holes tend to disconnect over time (Baum et al., 2012; Burt, 2002; Burt & Merluzzi, 2016; Sasovova et al., 2010; Stovel et al., 2011) and that the benefits of brokerage attenuate gradually (Soda et al., 2004). These studies, however, examined the dynamics of relational states based on long-term relationships, whereas information collection for problem-solving is a relational event (Borgatti & Halgin, 2011).
A problem-solving network is a relational event network that is created on a case-by-case basis. Therefore, there should be different appropriate ties, depending on the nature of the problem, and they do not necessarily coincide with the long-term relationship (Casciaro et al., 2014; Marineau et al., 2018; Soda et al., 2018). Furthermore, colleagues are simultaneously forming ties with each other, and sometimes, brokers tend to facilitate the connection of ties between unconnected actors (Quintane & Carnabuci, 2016). Thus, the communication partners in the problem-solving network dynamically change, and the brokerage position in the network also changes on the problem basis. These considerations lead to the following predictions.
Prediction 1: An employee’s communication partners for problem-solving vary on the problem basis.
Prediction 2: The employee who locates brokerage in the problem-solving network changes on the problem basis.
Brokerage is effective for exploratory information gathering (Wang et al., 2014). Positioning in brokerage also provides access to useful and nonredundant knowledge (Fleming et al., 2007; Sapsed et al., 2007). Furthermore, brokerage enhances the integration of dispersed knowledge in a network (Balachandran & Hernandez, 2018; Rodan & Galunic, 2004). Behind these benefits of brokerage is the exchange of information through the network. Since the problem-solving network is formed for the purpose of exchanging information, those benefits of brokerage would also be realized in the problem-solving network.
However, since a problem-solving network as a relational event, in contrast with a relational state network, is formed based on the nature of the problem, the information obtained from the network may not be effective in the long run. In other words, the problem-solving network can only provide instantaneous information to solve the current problem. Thus, current brokerage only contributes to current productivity, while current brokerage does not affect future productivity after solving the current problem. This analysis leads to the main hypotheses.
Hypothesis 1: Current brokerage contributes to current productivity.
Hypothesis 2: Current brokerage does not contribute to future productivity after solving the current problem.
Our empirical setting is a medium-sized company that provides technical support and troubleshooting for the IT system that its corporate customers use. The company has more than 10 locations nationwide in Japan, with nearly 300 regular employees, and it distributes work among these locations based on the locations of the corporate customers. The focus of this research is on the two largest offices of the company (hereafter, Office 1 and Office 2). The other offices are too small to measure the communication network between employees or to have other business teams performing completely different tasks, which makes it difficult to interpret interactions between the teams.
The main task of the employees of the company is to troubleshoot the IT system of corporate customers. Each inquiry is assigned to an employee, and they work to identify a solution to the problem. This allocation system is mechanical. The inquiry is assigned to the employee for whom the longest time has elapsed since the last assignment of an inquiry. Thus, there is no preferential assignment whereby more difficult inquiries are assigned to employees with stronger technical abilities.
The employee who has first been assigned the inquiry contacts the corporate customer via telephone or email confirms the details of the inquiry. This is referred to as the first response. The employee then works to identify a solution to the problem. In most cases, the employee works in offices and does not visit customers’ offices. When the problem is difficult for one employee to solve, the employee solicits help from their colleagues. If the employee cannot identify a solution within the office, the employee asks the developer or vendor of the software for help. After identifying the solution, the employee sends the solution to the customer via email or telephone. After the corporate customer confirms receipt of the solution, the inquiry ends.
We collect data on communications among the employees of the company. By using the Hitachi Business Microscope service provided by Hitachi in Japan, we collect high-frequency, bilateral, face-to-face communication relationship data for three workweeks for each office. This service has been applied to broadly analyze face-to-face communications in contexts such as call centers (Watanabe et al., 2013) and R&D project teams (Tabaru & Yamaguchi, 2017). We collected data from January 11 to February 5 in 2016 in Office 1 and from February 11 to March 7 in 2016 in Office 2. The Hitachi Business Microscope service provides nametag-style badges, infrared beacons, and software to gather raw information in a database of communications. (1)
Beacons were placed throughout the workspace of the office. Therefore, the communication that can be tracked by the sensors and beacons is communication in the office during working hours, and most of these are considered work-related communication. In addition, our visits to the offices and our observations indicate that very little private chat occurs in the workplace and that private chat seems to take place primarily outside the office during breaks and after leaving work. Almost all conversations in the workplace were work related.
During the survey period, employees were asked to wear badges during working hours. Office 1 had 70 employees in the survey period. However, there were several employees who temporarily left the office to work in other offices and employees who were recently employed and not familiar with working in the office, that is, working less than 6 months. These employees were not included in the survey. In total, 50 employees were the subject of our research. Office 2 had 49 employees, and we surveyed all employees’ communications for a total of 99 employees. (2)
To troubleshoot an inquiry typically takes a few days. On average, the duration from receiving an inquiry to completing the inquiry is 90.71 hr (3.8 days). Furthermore, as will be discussed later, this company sets one of its quality control standards as the completion of an inquiry within a few days. Thus, the communications for problem-solving about a given inquiry would stretch over a span of several days. Considering the nature of the task, we set the unit of analysis on a weekly basis. (3)
The raw data comprise the length, in minutes, of communications across employees. To aggregate the raw communication data to weekly basis network data, we form a link between employees if they communicate for more than 25 min in a week, which means 5 min of communication per business day on average. To test the validity of the 5 min per day, we calculated for each pair of employees how much time they spend talking per day and computed the mean and median. The results showed that the mean was 9 min and the median was 3 min. Thus, the threshold of at least 5 min is considered reasonable. (4)
Our independent variable is the measure of brokerage in the communication network. As the measure of brokerage, we adopt betweenness centrality, following its widespread use in the literature (e.g., Cross & Cummings, 2004; Freeman, 1979; McEvlily et al., 2012; Mehra et al., 2001). Betweenness centrality measures where an employee lies on the shortest paths linking other individuals (e.g., Freeman, 1979; Friedkin, 1991). Thus, the measure appropriately captures the features of brokerage that offer the advantage of collecting diverse information from the network on a global scale. (5)
As alternative measures of brokerage, network constraint and effective size proposed by Burt (1980, 1992) are also widely used. The former captures the lack of access to structural holes, and the latter quantifies the number of nonredundant connections (Burt, 2015). In our context, we predict that the collection of nonredundant information contributes to employee performance, and the effective size would be appropriate for an alternative measure of brokerage. As Mehra et al. (2001) mention, effective size and constraint focus on the connection relationship between an ego and the other agents directly connected. Therefore, they do not look at the connections beyond that. In terms of information sharing, effective size and constraints can be reasonable indicators since local information sharing around oneself is of course important. However, as much or more, information transmitted indirectly through more than first-order connections is also important. Betweenness centrality captures both direct and indirect connections (Mehra et al., 2001). In this sense, betweenness centrality should be an appropriate indicator in this context. As a robustness check, we also use effective size as an alternative measure of brokerage. (6)
In a social network analysis, other centrality indicators are used. A typical example is degree centrality, which counts the number of colleagues with whom the employee communicates (e.g., Knoke & Kuklinski, 1982; Wasserman & Faust, 1994). Accordingly, degree centrality represents information gathered by the direct communication partners. To investigate the importance of brokerage, which captures diverse information, we compare the results between betweenness centrality and degree centrality.
The dependent variable is the performance of the employees per week. The performance indicator is the service quality of each employee. Specifically, it reflects whether each employee has achieved the level required by the company for the inquiry assigned. The company collects information about the quality of the service for each inquiry using three quantitative measures.
Employees are required to make the first response to customers within a specified period (a specific number of minutes).
Employees are required to send the solution to the inquiry to the customer within a specified period (a specific number of days).
When a problem is difficult to solve within the office, the employee asks the developer or vendor of the software for assistance in solving the problem. However, the company requires members to strive to solve problems without asking for help outside the office because solving problems internally is a core competence for a support business.
In summary, in responding to each inquiry, employees aim to satisfy these three requirements: (1) providing the first response within a specified period; (2) offering a final answer to the customer within a specified period; and (3) solving the problem within the office.
The company records each of these three indicators for each inquiry in binary form: 1 if achieved and 0 if not. To construct the dependent variable, we calculate the share of inquiries that achieve each quality requirement for all inquiries assigned to an employee in a week as the weekly measure of employee performance. For example, if an employee was assigned six inquiries in week t and was able to provide a first response within the specified period for five inquiries, the employee’s first response measure for the week would be 5/6 (83.3%). (7)
Note that the above measures of service quality can be categorized into measures related to information collection and unrelated measures. Providing the first response within a specified period does not depend on the difficulty of the inquiry; it depends only on the efforts of the employee who is assigned the inquiry. In this sense, the measure is unrelated to information collection from colleagues. However, providing the final answer to the customer within a specified period and solving the problem within the office depend on the difficulty of the inquiry as well as the employee’s efforts and skills. In this case, information collection from colleagues is crucial.
Differences in the nature of these performance measures may also be useful in examining whether communication among employees is intended to solve a problem. Providing the first response within a specified period is virtually duty, and there is nothing to do with information gathering to solve the problem. Thus, if communication in the workplace is intended to solve a problem, brokerage in the network should not affect this performance measure (first response within a specified period).
To provide supporting evidence for Prediction 1, we investigate the pattern of changes in communication partners on a weekly basis. We first define the set of employee i’s communication partners in week t as Cit. In other words, the elements of Cit are colleagues who communicate with employee i for more than 25 min in week t. If employee i’s communication partners differ between weeks t and t+1, the communication partner sets Cit and Cit+1 also differ. To quantify the similarity of employee i’s communication partners between weeks t and t+1, we use the Jaccard index between Cit and Cit+1. The Jaccard index between Cit and Cit+1 is Jit, where higher values for Jit indicate higher levels of sameness regarding employee i’s communication partners between weeks t and t+1. Thus, using this Jaccard index, Jit, we provide supporting evidence for Prediction 1.
Next, to provide supporting evidence for Prediction 2, we show the pattern of changes in each employee’s brokerage indicators by week. Furthermore, we rank the employees in each office in order of brokerage indicator for each week and investigate how the rankings fluctuate from week to week. If the ranking of the index of brokerage changes by week, it indicates that employees who locate the brokerage position are changing on a weekly basis.
Finally, we test Hypotheses 1 and 2. First, we construct weekly employee-level panel data. Specifically, for individual employees, we aggregate productivity and communication information for five working days as a week and build three weeks of panel data for each employee. Then, using these data, we test Hypothesis 1, the impact of current brokerage on current productivity, by estimating the following regression equation:
Regarding the performance indicator yiost, we use the share of inquiries that pass each quality requirement of all inquiries assigned to an employee, as previously described. To measure brokerage xiost, we use betweenness centrality.
To test Hypothesis 2, the dynamic impact of brokerage on current performance, we estimate the impact of brokerage from the prior week on performance in the current week. The estimation equation is as follows:
These estimation strategies face the following potential endogeneity concerns. First, communication indicators may be correlated with unobserved employee abilities that are also correlated with performance. For example, it may be the case that an employee positioned in the center of a communication network has higher ability, and various colleagues come to that employee to seek advice. To address this issue, we control for this possibility with individual fixed effects. Because the data cover only three weeks, it is reasonable to assume that individual abilities do not change substantially over this time. Dealing with the unobserved ability of individuals has been a difficult issue in cross-sectional analyses and questionnaire surveys to date, and this paper makes progress in that regard.
A second concern is that inquiries are selectively assigned to employees depending on their abilities. For example, if difficult inquiries are selectively assigned to highly skilled employees and if there is a correlation between an employee’s unobserved abilities and their communication network characteristics, an endogeneity problem can arise. However, as noted in Section 3, this assignment is independent of employee skill, conditioning on their observed skill set. Namely, inquiries are assigned by the time elapsed since the employee’s last assignments within their observed skill sets. In this sense, the difficulty of the inquiries is random if we condition on employees’ observed skill sets. Insofar as we control for employees’ skill sets with individual fixed effects, this endogeneity problem is addressed.
Other potential endogeneity concerns are that a particular office may be busy during a particular week or that in a particular office, many difficult inquiries arise for employees with certain employment statuses. As previously discussed, this is explicitly controlled for using ξost as the average performance of employees in the same office and with the same employment status in the week.
Finally, it is conceivable that an employee’s decision regarding whether to communicate depends initially on the difficulty of the problem assigned. If the difficulty of problems is not controlled for, this could affect the communication pattern as well as the performance of the employee assigned the inquiry (if the inquiry is difficult to solve, the quality requirements tend to be violated). However, on average, an employee handles more than 30 inquiries per week. Using weekly aggregated data, the number of inquiries received per week averages out the difficulty variations in each inquiry by week. That is, the average difficulty of inquiries by week is considered not to vary.
Summary statistics for the variables are shown in Table 1, and correlations between variables are shown in Table 2. Each panel exhibits the summary statistics for Offices 1 and 2 and the total. The average weekly communication time for employees is 136.91 min; however, the standard deviations are substantially large, which implies that there is large variation in communication time across employees. Furthermore, the difference between the offices is large on average. The average communication time between employees in Office 1 (89.65 min) is only half of that between employees in Office 2 (179.15 min). This difference would come from the difference in average tenure years between those offices. The average tenure years of the employees in Office 2 are shorter than those in Office 1. Employees in Office 2 may have more questions to ask their coworkers. In addition, these offices support different systems. Office 2 supports middleware and may have more complex operations because of their dependencies on operating systems and other software, which may have increased the number of questions. This finding shows that there are considerable variations both among employees and between the offices in time spent on communication.
Desctriptive statistics.
| Office 1 | Office 2 | Total | ||||
|---|---|---|---|---|---|---|
| No. of observations: 101 | No. of observations: 113 | No. of observations: 214 | ||||
| mean | SD | mean | SD | mean | SD | |
| Total time of communication | 89.65 | 106.31 | 179.15 | 162.12 | 136.91 | 145.37 |
| Degree centrality | 2.69 | 2.33 | 7.56 | 4.82 | 5.26 | 4.55 |
| Betweenness centrality | 30.64 | 51.03 | 24.95 | 45.58 | 27.63 | 48.20 |
| First response within a specified period | 0.97 | 0.05 | 0.97 | 0.07 | 0.97 | 0.06 |
| Solving inquiry within a specific period | 0.73 | 0.18 | 0.76 | 0.22 | 0.74 | 0.20 |
| Solving inquiry within the office | 0.99 | 0.04 | 0.95 | 0.10 | 0.97 | 0.08 |
Correlations between variables.
| 1 | 2 | 3 | 4 | 5 | |
|---|---|---|---|---|---|
| 1 Total time of communication | - | ||||
| 2 Degree centrality | 0.700* | - | |||
| 3 Betweenness centrality | 0.302* | 0.536* | - | ||
| 4 First response within a specified period | −0.133 | −0.097 | −0.017 | - | |
| 5 Solving inquiry within a specified period | −0.021 | 0.068 | 0.111 | −0.005 | - |
| 6 Solving inquiry within the office | −0.003 | 0.112 | −0.025 | −0.08 | 0.055 |
First, we show the supporting evidence for Prediction 1. As an initial step, we show the communication network in each office and week in Figure 1. Panels A and B present the results for Offices 1 and 2, respectively. Each circle represents an employee, and the links indicate that there are communications between the employees that exceed 25 min/week. Since the locations of the employees in the figure are fixed throughout the week, the different shapes of the formed links between weeks imply that the communication partners of employees differ between weeks. In both offices, the communication partners of the network differ by week. This figure is consistent with Prediction 1.

Shape of the communication network
In addition, we focus on an employee and see how their communication partner changes between those weeks. The black node in Panel A in Figure 1 is the employee of interest, and the colleagues with whom this employee communicates during the week are in gray. It is clear that the communication partners of the employee differ between weeks 1 and 2. In week 1, the employee communicates with ten colleagues. In week 2, the employee communicates with eight employees, four of whom she communicated with the previous week and four of whom she had not communicated with in week 1. In other words, approximately half of the communication partners are replaced.
We then formally check the changes in employees’ communication partners between weeks. We use Jit, which is the Jaccard index of employee i’s communication partner sets for week t and week t+1. As our data span three weeks (weeks 1, 2, and 3), we can calculate Ji1 for weeks 1 and 2 and Ji2 for weeks 2 and 3 for each employee i.
The distribution of Ji1 and Ji2 is plotted in Figure 2. Panel A shows the results for Office 1, with the solid line indicating the distribution of Ji1 and the dashed line denoting the distribution of Ji2. While there are large variations in Jit, the majority of the employees’ Jit values are not large, and the means of Ji1 and Ji2 are 0.3 and 0.37, respectively, suggesting that most of the employees’ communication partners differ by week. In the example of the employee focus in Panel A of Figure 1, when Ji1 is 0.29, approximately half of the communication partners are replaced between weeks t and t+1. Following this example, on average, approximately half of the communication partners of the employees in this office are replaced every week.

Distribution of Jit
Panel B shows the results for Office 2. Similar to Office 1, Ji1 varies, and the means of the Jaccard indices are not large. These results suggest that the communication partners differ on a weekly basis and support Prediction 1.
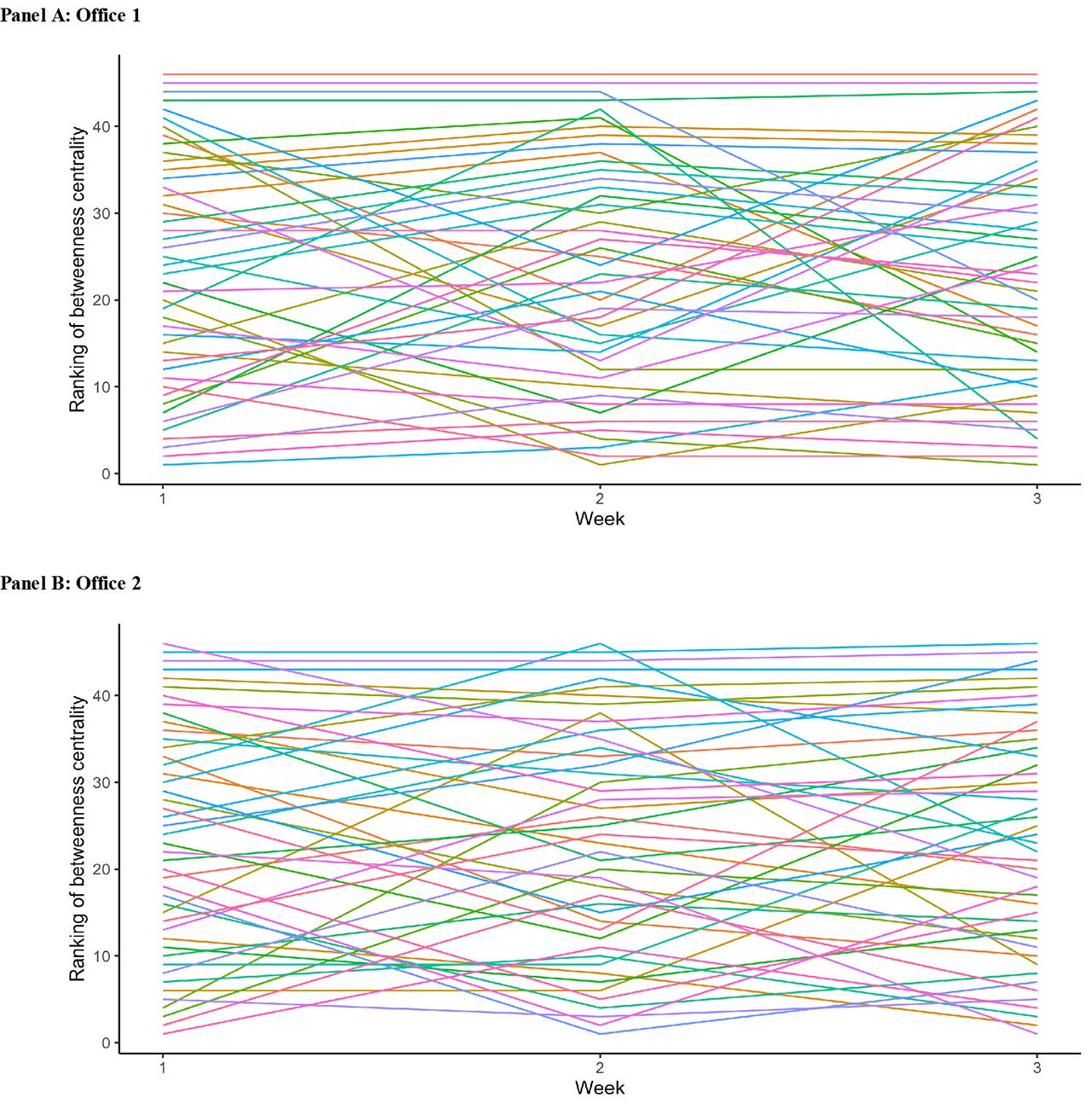
We next show the supporting evidence for Prediction 2. Figure 3 plots the betweenness centrality of each employee for each week. Panel A presents the results for Office 1, and Panel B depicts the results for Office 2. In both panels, we find that betweenness centrality fluctuates by week.

Weekly changes in the value of each employee’s betweenness centrality
To see the changes in the communication pattern more clearly, we rank the employees in each office in the order of betweenness centrality for each week and then analyze how the rankings fluctuate from week to week.
Figure 4 displays the ranking of each employee’s betweenness centrality for each week. Panel A presents the results for Office 1, and Panel B depicts the results for Office 2. In both panels, we find that the rank fluctuates by week. Although some employees (e.g., the top-ranked two employees in Office 1) always exhibit higher betweenness centrality than the other employees, most of the employees’ rankings fluctuate significantly on a weekly basis.

Weekly changes in the ranking of each employee’s betweenness centrality
Furthermore, Table 3 shows the rankings of betweenness centrality in weeks 2 and 3 for the top five employees with the highest betweenness centrality in week 1 in Office 1 on Panel (a) and Office 2 on Panel (b). For example, in Office 1, the employee who has the highest betweenness centrality ranks 3rd and 11th in weeks 2 and 3, respectively. Moreover, the employee who was 5th in the first week dropped very low in the rankings in subsequent weeks. Similarly, the ranking of the betweenness centrality in Office 2 changes by week. The findings indicate that employees’ degree of brokerage changes in the short run.
Ranking of betweenness centrality for the five employees with the highest betweenness centrality in week 1.
| (a) Office 1 | |||
| employee ID | rank (week 1) | rank (week 2) | rank (week 3) |
| 1 | 1 | 3 | 11 |
| 2 | 2 | 5 | 3 |
| 3 | 3 | 9 | 5 |
| 4 | 4 | 6 | 6 |
| 5 | 5 | 23 | 19 |
| (b) Office 2 | |||
| employee ID | rank (week 1) | rank (week 2) | rank (week 3) |
| 1 | 1 | 11 | 4 |
| 2 | 2 | 17 | 6 |
| 3 | 3 | 20 | 17 |
| 4 | 4 | 30 | 35 |
| 5 | 5 | 3 | 5 |
Finally, to see the change in the employee who positions brokerage, we show the rank correlation of the ranking of brokerage in an office by weeks. For each office, we calculate the rank correlation of each employee’s ranking of betweenness centrality between week 1 and week 2 and between week 2 and week 3. If the rankings are unchanged by week, the rank correlation takes one. The results are presented in Table 4. In Office 1, the rank correlation coefficient between weeks 1 and 2 is 0.58, that is, not close to 1. This implies that the employees who position brokerage are not necessarily the same between weeks 1 and 2 in Office 1. Similarly, in another week and the other office, the coefficients range from 0.54 to 0.68 and again are not close to 1. These findings suggest that employees who position brokerage change from one week to another, thus supporting Prediction 2.
Rank correlation of the ranking of betweenness centrality between weeks.
| Week 1 and 2 | Week 2 and 3 | |
|---|---|---|
| Office 1 | 0.58 | 0.54 |
| Office 2 | 0.65 | 0.68 |
Table 5 presents the estimation results of estimation Eq. (1) for testing Hypothesis 1. We pool the data from the two offices and control for office characteristics with office fixed effects. The standard errors are clustered at the individual level. Column (1) shows the estimation results when degree centrality is used as the indicator of centrality and the first response within a specified period is used as the performance indicator. The coefficient for degree centrality is close to zero, and its p value is large (β = 0.007; p = 0.39), which indicates that it has no impact on the first response variable. Column (2) presents the estimation results when betweenness centrality is used as the indicator of centrality and the first response variable is used as the performance indicator. Similarly, the coefficient for betweenness centrality is close to 0, and its p value is large (β = 0.005; p = 0.35), which indicates that it has no impact on the first response within a specified period.
Estimation results on hypothesis 1.
| (1) | (2) | (3) | (4) | (5) | (6) | |||||||||||||
|---|---|---|---|---|---|---|---|---|---|---|---|---|---|---|---|---|---|---|
| First response within a specified period | First response within a specified period | Solving inquiry within a specified period | Solving inquiry within a specified period | Solving inquiry within the office | Solving inquiry within the office | |||||||||||||
| Coef. | SE | p | Coef. | SE | p | Coef. | SE | p | Coef. | SE | p | Coef. | SE | p | Coef. | SE | p | |
| Degree centrality | 0.00722 | 0.0083 | 0.390 | −0.00690 | 0.0365 | 0.852 | −0.00548 | 0.0148 | 0.713 | |||||||||
| Betweenness centrality | 0.00518 | 0.0055 | 0.354 | −0.0149 | 0.0233 | 0.528 | 0.0323 | 0.0152 | 0.038 | |||||||||
| Office/week/employment status FE | yes | yes | yes | yes | yes | yes | ||||||||||||
| Individual FE | yes | yes | yes | yes | yes | yes | ||||||||||||
| Adjusted R2 | 0.100 | 0.100 | 0.106 | 0.107 | 0.136 | 0.197 | ||||||||||||
| No. of observations | 210 | 210 | 139 | 139 | 211 | 211 | ||||||||||||
Columns (3) and (4) reporting the results when providing solutions to customers within a specified time is used as the performance indicator. Column (3) uses degree centrality as the centrality indicator, and Column (4) uses betweenness centrality. In both cases, the coefficient for centrality is close to 0, and its p value is large (β = −0.007; p = 0.85; β = −0.01; p = 0.53). That is, the centrality indicators do not have an effect on the employee’s performance, measured by whether the employee solves the problem within the specified time.
Finally, Columns (5) and (6) exhibit the results when solving a problem within the office is used as the performance indicator. Column (5) uses degree centrality as the centrality indicator. The coefficient of degree centrality is close to 0, and its p value is large (β = −0.005; p = 0.71). In contrast, Column (6) uses betweenness centrality as the centrality indicator. In this case, the coefficient of betweenness centrality is positive, and its p value is low (β = 0.03; p = 0.04). To understand the impact based on the standard deviation base, we calculate the standardized coefficient of the results in Column (6) and we obtain 0.34 as the standardized coefficient. This implies that a one-standard-deviation increase in betweenness centrality increases the rate of problem-solving within the office by 0.34 standard deviations. Thus, betweenness centrality has a substantial positive impact on the fraction of solutions provided within the office for inquiries assigned to an employee. (8) Those main results are robustly observed if we use the effective size as an alternative measure of brokerage. The results are shown in Table A1.
The main results can be summarized as follows. First, betweenness centrality in a week has no impact on the first response variable, which is unrelated to employees’ information collection behavior. Second, betweenness centrality in a week exhibits a positive and substantial impact on solving a problem within the office during that week. This outcome is indeed related to employee information collection behavior, and these results support Hypothesis 1. Current brokerage in the employee communication network improves employees’ current performance with respect to problem-solving.
The results suggest that the communication network we measure should be intended to solve a problem. As we discussed in the measure of performance, providing the first response within a specified period is a matter of the employee’s effort; thus, if communication has a strong aspect promoting engagement in the workplace, communication could improve this measure. Observing a significant impact of brokerage only on the measure strongly related to problem-solving suggests that the communication that we measure is intended to solve a problem.
Furthermore, it is also important that among the indicators strongly related to problem-solving, a positive effect was found only for solving a problem within the office, not for solving a problem within the specified time. The former matters in solving the difficult problem not only at the level of each employee, but also for the establishment as a whole and requires utilization of all the knowledge available inside the office. The result suggests that the brokerage matters when an employee solves a problem by leveraging the available in-house information resources.
Next, to investigate Hypothesis 2, that is, the dynamic impact of brokerage on current performance, we estimate Eq. (2) as shown above. The results are presented in Table 6. Column (1) shows the results of the impact of lagged degree centrality on solving an inquiry within the office. The coefficient for lagged degree centrality is close to zero, and its p value is large (β = 0.009; p = 0.62). Column (2) shows the results for the impact of lagged betweenness centrality on solving an inquiry within the office. The coefficient for the lagged betweenness centrality is also close to zero, and its p value is large (β = −0.01; p = 0.50). These results suggest that current performance is not affected by the lagged communication pattern. Our result is consistent with Hypothesis 2.
Estimation results on hypothesis 2.
| (1) | (2) | |||||
|---|---|---|---|---|---|---|
| Solving inquiry within the office | Solving inquiry within the office | |||||
| Coef. | SE | p | Coef. | SE | p | |
| Degree centrality (t−1) | 0.00906 | 0.0184 | 0.626 | |||
| Betweenness centrality (t−1) | −0.0105 | 0.0155 | 0.503 | |||
| Office/week/employment status FE | yes | yes | ||||
| Individual FE | yes | yes | ||||
| Adjusted R2 | 0.284 | 0.287 | ||||
| No. of observations | 92 | 134 | ||||
The results of our empirical analysis indicate that Predictions 1 and 2 and Hypotheses 1 and 2 are supported. In a problem-solving network, the communication partners frequently change, and the employee who locates brokerage differs by the week. These results imply that a problem-solving network is formed on a case-by-case basis, as it reflects the nature of the problem that an employee faces. In addition, positioning brokerage in the problem-solving network positively affects employees’ current productivity but not their future productivity. These findings reveal the dynamic feature of brokerage in the problem-solving network, as the information collected from the problem-solving network is instantaneous and useful for solving a current problem but not a future problem.
Furthermore, our results indicate that current brokerage does not necessarily improve all aspects of productivity; rather, it only improves current productivity as measured by solving the problem within the office.
These results can be interpreted as follows. First, the most important determinant of productivity is the employee’s individual skill, which is captured by individual fixed effects in the estimation. Inquiries are randomly assigned to employees, and employees have a responsibility to provide a solution. Accordingly, in the process of normal work duties, communication is not necessary, and the success of the work depends largely on the skill of each employee.
Second, when an inquiry is difficult for an employee to solve by themselves or requires knowledge that they do not possess, it is necessary for them to communicate with other employees. In this case, it is crucial to communicate with those specific employees who have critical, relevant information for solving the problem within the specific period. IT system support services require up-to-date knowledge, and exchanging information on the system, such as updates to technological information and its accompanying difficulties, is crucial for solving problems. Thus, only current brokerage has a positive impact on current performance.
Third, brokerage affects only the performance measure for solving problems within the office. In other words, brokerage does not affect the first response within a specified period, which is a measure of performance not related to problem-solving. This strongly suggests that the benefits of brokerage come from information collection for problem-solving, not from other channels, such as increasing motivation through communication with colleagues. Within the office, the use of brokerage aids in problem-solving by leveraging the available in-house information resources. This process underscores the significance of gathering information through internal communication, especially when addressing more complex issues.
Our findings have profound managerial implications: workplace communication matters. More precisely, face-to-face communication in the workplace contributes to employees’ performance through problem-solving via the information collected by colleagues. Occupying a position of brokerage in a problem-solving network can help increase productivity through efficient information gathering.
However, as shown by Ichniowski and Shaw (2009), face-to-face communication itself is costly for production in the sense that employees cannot perform their own work when they are communicating with colleagues. In addition, the costs and benefits of communication are asymmetric between asking and answering employees. An asking employee’s work performance ultimately improves if the benefit of asking is larger than the cost. However, an answering employee’s work performance is decreased by the cost of answering.
Although several studies suggest that advising colleagues improves the advice giver’s performance (e.g., Li et al., 2018) and that being approached to answer questions confers status and power on the advice giver (e.g., Blau, 2017), the benefit of answering questions would not be as large as that of asking them. Thus, a large total volume of face-to-face communication in a workplace becomes less than optimal for an individual employee. From this viewpoint, it is necessary to introduce an incentive device to promote face-to-face communication in the workplace to improve employee productivity. In fact, Company A uses a long-term subjective performance evaluation in which assisting colleagues is one of the criteria included in the evaluation assessment.
As an alternative means to promote face-to-face communication in the workplace, reducing the cost of communication is also effective (Ichniowski & Shaw, 2009). Employee training, particularly for leaders, helps reduce barriers to face-to-face communication. These barriers are partly dependent on the atmosphere in the workplace. To remove these barriers, leadership is critical. By investigating the impact of these practices, we can fully understand the nature of pecuniary and nonpecuniary policies to promote face-to-face communication.
Our findings also suggest that it is important for each employee to be able to identify which problems should be solved by themselves and which problems require help from others. Thus, it would be useful to introduce training to identify which problems can be solved alone and which require help in a timely manner.
Furthermore, each employee needs to know from whom they can get the required information. It would also be helpful to introduce information so that employees understand the skills/knowledge of their colleagues so that they can approach the right person for their problem. Those three directions are promising for future research.
The technological details of the sensor are described by Wakisaka et al. (2009). Individuals facing each other are detected by wearable sensors that scan beams that each sensor outputs to the other. The sensors are able to capture broad angles of individuals facing each other and can detect situations in which individuals face each other diagonally as well as frontally. Wakisaka et al. (2009) show that the badges capture most of the typical types and situations of face-to-face communications that occur in a workplace. There may be a concern that the sensor will identify a situation in which two employees are not communicating and only face each other in face-to-face communication. To address this issue, an acceleration sensor that captures the body movements of the subject is installed in the badge. As face-to-face communication coincides with body movement, with the supplementary use of body movement information, the Hitachi Business Microscope detects actual face-to-face communications. Furthermore, infrared beacons set on desks within the office enabled us to obtain the location data of each employee. Using these installations, the Hitachi Business Microscope collected information every minute regarding who had face-to-face communications with whom and where.
One of the managers from Office 1 traveled to Office 2 during the measurement period for Office 2 and started wearing a sensor from the middle of the period; thus, this manager was included in the totals. Moreover, every day, some individuals were absent due to business trips or other reasons; thus, employees of the office did not necessarily always wear sensors.
We conduct robustness check on the choice of time window. we tried 2-, 3-, and 4-day windows. The results showed that the effect weakened as the number of days decreased. Especially in the 2- and 3-day windows, the results were no longer significant. Those results are consistent with the interpretation that communication plays an important role in problems that take a certain amount of time, given that the average problem-solving time is 3.8 days and that information gathering is important in difficult problems which takes longer durations to be solved. In this sense, the results can be interpreted to justify the 5-day window. The results are illustrated in Table A2.
As a test of robustness, we perform the analysis with a threshold of 15 min (3 min per business day) and 35 min (7 min per business day), and the results are qualitatively the same. The results are illustrated in Table A3.
Closeness centrality would be an alternative measure of brokerage. However, in our context, it was necessary to capture nonredundant information collection behavior rather than just the wide collection of both redundant and nonredundant information, which the closeness centrality measure captures. Thus, we focus on brokerage positioning, which is captured by betweenness centrality.
Burt (2015) mentions that the network constraint measure ill-behaved for social isolates. In our data, several employees do not have communication partners. Therefore, we only use the effective size measure as the alternative measure of brokerage.
One may concern that it is possible to use number of completed inquiries instead of the share of completed inquiries. Even if inquiries are assigned mechanically, the number of inquiries assigned varied from employee to employee, sometimes the employee was not in the office to work for the customer's office or absence. Furthermore, one week during the survey period at Office 1 had one national holiday, so there are four work days in that week. To deal with those issues we have decided to use the fraction rather than the number.
To assess the impact of betweenness centrality on the adjusted R squared, we recalculate the estimation Eq. (2) without including betweenness centrality. This recalculated R squared is 0.142. When we incorporate betweenness centrality, there is a notable increase in the adjusted R squared, rising from 0.142 to 0.197, as shown in Column (6) of Table 5. This indicates that although an employee’s performance can largely be attributed to their individual abilities, as captured by the individual fixed effects, brokerage in problem-solving networks also plays a significant role in explaining employee performance.