In the course of evolution, living organisms have developed mechanisms allowing them to survive in unfavourable conditions. The adaptation of bacterial cells to conditions abnormal for their growth and survival in a new, changed environment is the result of the cells’ response to stress. In stressful conditions, changes in metabolism occur with a view to protecting a cell. One of the adaptive mechanisms is the stringent response, observed for the first time in Escherichia coli [16] and defined as the physiological response of a bacterium to a deficiency in amino acids, fatty acids, other nutritional substances or a different kind of stress, e.g. changes in temperature [7, 27, 29, 36, 41, 85, 97, 109]. Stringent response alarmones, jointly referred to as (p)ppGpp, are guanosine tetraphosphate and guanosine pentaphosphate, ppGpp and pppGpp, respectively, which, i.a., by directly interacting with RNA polymerase, contribute to changes in gene expression, as well as DNA replication. The aim of this work is to summarize the contemporary state of knowledge with regard to bacterial stringent response, which is significant due to its involvement in the reactions of microorganisms to the effects of stress factors, with particular emphasis on this mechanism in bacteria interacting with plants. The activation of the stringent response in bacteria gives them a chance to colonize new niches and, to an extent, guarantees their survival, even in extreme conditions.
The main effectors of the stringent response in bacteria are (p)ppGpp. These molecules, often referred to as stringent response alarmones, are synthesized by the RelA and SpoT enzymes (in Beta- and Gammaproteobacteria; Fig. 1) and their homologues known as RSH (RelA/SpoT Homologues; in other bacteria).

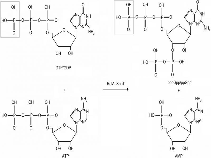
Synthesis of (p)ppGpp in E. coli.
The ppGpp and pppGpp are synthesized from GDP and GTP, respectively, as well as from ATP by the RelA and SpoT enzymes, in response to a deficiency in nutritional substances. As a result of these reactions, AMP is also produced. Phosphate groups marked in grey are present only in the case of GTP and pppGpp.
Alarmones influence the metabolism of a bacterial cell, i.a., by lowering the transcription of genes encoding rRNA, tRNA and ribosomal proteins and increasing the expression of those encoding proteins involved in the synthesis of amino acids and the response to stress [22, 44, 85, 103]. The level of (p)ppGpp in cells also regulates the process of translation and DNA repair. Functioning of the stringent response is observed in both Gram-negative and Gram-positive bacteria, and its psychological effects also include the inhibition of DNA replication [4, 23, 25, 66], which slows down the division and growth of cells [10, 23].
The RelA enzyme is a ribosome-associated protein that “senses” a deficiency in amino acids by directly monitoring the translational efficiency of a cell. Over the course of the correct growth of a cell, amino acids, in the form of aminoacyl-tRNA, are delivered to the A-site of a ribosome and added to a nascent polypeptide. In conditions of amino acid starvation, deacylated tRNA forms are accumulated in a bacterial cell and block a ribosome at the A-site and, subsequently, the RelA protein binds to the ribosome and synthesizes (p)ppGpp [41, 44] which reduces the enzyme’s affinity to the ribosome. RelA, which is able to move from one ribosome to the next, monitors the translational activity of a cell [112]. A different model assumes that RelA performs a few cycles of (p)ppGpp synthesis after disconnecting from the ribosome, which would indicate the possession of “molecular memory” by this protein [27]. Subsequent studies have shown, however, that RelA may bind to the ribosome even in the absence of tRNA, and the presence of deacylated tRNA stabilizes this complex and enables the synthesis of (p)ppGpp [67]. Interestingly, the ppGpp molecule itself may exert a positive influence on the activity of RelA, and thus stimulate the production of stringent response alarmones by way of a feedback loop [98]. Despite the existence of various models describing the functioning of RelA, the fact that it is the main enzyme responsible for (p)ppGpp synthesis in E. coli in conditions of amino acids deficiency remains unchanged. The functioning of the stringent response is not limited to regulating the metabolism of bacterial cells only in this situation; it also takes place in the event of a response to other stress factors, such as a deficiency in fatty acids, iron, the depletion of a carbon source or a heat shock. Then, it is SpoT that becomes the enzyme which performs the function of synthesizing (p)ppGpp [27, 2997, 109]. Unlike RelA, this protein also demonstrates the activity of hydrolysing stringent response alarmones in a situation when environmental conditions improve [47, 53, 144]. The SpoT enzyme is therefore responsible for maintaining a balance in the level of alarmones, and its dysfunction, along with the simultaneous presence of the RelA functional enzyme, results in the death of cells. This stems from the fact that, in mutants lacking the SpoT protein, alarmones are produced without the simultaneous possibility to hydrolyse them [114]. In conditions when cells have unlimited access to nutritional substances, GTP-ase CgtA/Obg which, e.g., is involved in assembling ribosomes, interacts with the SpoT protein, which most likely causes an increase in its hydrolytic activity and, consequently, a decrease in the level of (p)ppGpp [87]. Another protein that regulates the activity of SpoT is the Acyl Carrier Protein (ACP), which also interacts with this enzyme. In a situation when a cell has enough nutritional substances at its disposal, ACP promotes the enzyme’s hydrolytic activity, whereas in stressful conditions resulting from a deficiency in fatty acids, it promotes synthetase activity [7].
In bacteria that do not have RelA and SpoT, there are enzymes designated as RSH [formerly Rel, described as ones belonging to the so-called “long” RSHs (similarly as RelA and SpoT)] which are responsible for the synthesis of (p)ppGpp, both in conditions of amino acid starvation, as well as in response to other stress factors. They also have a domain responsible for the hydrolysis of stringent response alarmones. In addition to the RelA, SpoT and RSH enzymes, selected bacteria also contain Small Alarmone Synthetases (SAS), which are also designated as Rel, which only have the domain responsible for the synthesis of (p)ppGpp (sometimes also referred to as short RSHs) [3, 103].
The initiation of transcription in bacteria consists of the core of RNA polymerase (RNAP) combined with the σ factor (together forming the RNAP holoenzyme) binding to the –35 and –10 promoter sequences. The RNAP core consists of five subunits: αI, αII – binding regulatory proteins, β – associating reaction substrates, β’ – binding DNA (both β subunits are part of the active site of RNAP) and ω subunit [13, 74]. Transcription from the majority of E. coli promoters (e.g., rRNA promoters) is carried out by RNA polymerase containing the σA factor (σ70, RpoD), whereas alternative sigma factors are used for the transcription of some genes encoding proteins which enable survival in unfavourable environmental conditions [13]. Unwinding of the DNA duplex across a section of several nucleotides (i.e. the creation of an open complex) allows for transcription to be initiated by means of synthesizing short, so-called abortive RNAs, and subsequently transition into the elongation complex, which leaves the area of the promoter [13].
In E. coli, the transcription of genes encoding rRNA is mainly regulated at the level of transcription initiation, which is in general influenced, i.a., by proteins that bind to DNA promoter regions – activators and repressors, as well as the level of the transcription initiating nucleotide [6, 13, 34]. The stability of the RNA polymerase complex with the promoter sequence of a given gene is extremely sensitive to the concentration of this nucleotide. When the concentration of the initiating nucleotide rises, the polymerase complex with the promoter becomes more stable, which favours the initiation of transcription [34]. However, because in E. coli it is the ATP and not the GTP that is the initiating nucleotide, the accumulation of (p)ppGpp, which leads to the exhaustion of GTP, does not really influence the concentration of the initiating nucleotide, as is the case for the Gram-positive B. subtilis bacterium, for which it is GTP that is the nucleotide which initiates rRNA transcription [13].
Stringent response alarmones regulate the transcription of E. coli by binding directly to RNA polymerase. Experiments have shown that RNA polymerase has two sites in which it may bind (p)ppGpp. One of them is located approximately 30 Å from the active site of the enzyme, in a cavity surrounded by α, β’ and ω subunits. There, alarmones interact with the DPBB domain (Double Psi β-Barrel) of the β’ subunit and with the N-terminus of the ω subunit. Fragments of the β, β’ subunits, as well as α subunits, and fragments of the β, β’ and ω subunits constitute two mobile RNAP modules known as the core and shelf respectively, which together form the so-called claw. The RNAP catalytic site is located deep inside the clamp cleft. The binding of alarmones in the afore-mentioned spot probably reduces the dynamics of the RNAP claw, which prevents the chamber of the active site from closing, which happens when a nucleotide binds to a DNA template strand during the nascent RNA synthesis. This, in turn, may slow down the process of adding nucleotides and destabilize the transcription initiation complex [44, 71, 91, 117]. The second site of (p)ppGpp binding is located 60 Å from the first one, it is created by the β’ subunit and the DksA transcription factor binding to RNAP, located near the entrance to the secondary RNA polymerase channel [73, 79, 90].
Depending on the kinetic properties of the promoter, gene expression is reduced or increased as a result of RNAP interacting with (p)ppGpp. Because the presence of (p)ppGpp destabilizes the RNAP-promoter complex, it significantly reduces the transcription of those genes that have promoters, which allow for the formation of a short-lived complex. Promoter sequences of genes encoding rRNA have a sequence rich in GC pairs, which interacts with the σ RNAP subunit, in the area –10 – + 1 (the so-called discriminator). This results in the formation of extremely unstable open complexes with RNA polymerase [5, 43], whose destabilization is additionally increased by (p)ppGpp binding. However, promoters of genes encoding proteins responsible for synthesizing amino acids have a sequence rich in AT pairs in the same spot, which increases the stability of RNA polymerase-DNA interactions and reduces its sensitivity to destabilization caused by alarmones [5, 102].
Another form in which (p)ppGpp regulate transcription is the indirect activation of genes responding to stress by stimulating the dissociation of the σ70 subunit from the RNAP holoenzyme. At that moment, there are more free particles of the RNAP core in a cell, to which alternative sigma factors may bind, for instance σS (σ38, RpoS), σH (σ32, RpoH), σN (σ54, RpoN) and σE (σ24, RpoE) [85, 102].
Stringent response alarmones also facilitate the reparation of errors generated in the process of DNA transcription, taking part in the so-called TCR repair (Transcription Coupled Repair). Mutants lacking stringent response enzymes are less resistant to mutagenic factors, they are characterized by slower removal of cyclobutane pyrimidine dimers induced by UV light [54]. This is due to the fact that they do not produce (p)ppGpp, which, as has been demonstrated, cause the relaxation of the RNA polymerase clamp located on DNA in the process of transcription elongation which, in cooperation with the UvrD protein, enables the backtracking of the polymerase on the transcribed DNA strand and, therefore, the correction of errors [54].
Gram-positive bacteria belonging to the Firmicutes type do not have homologues of the DksA transcription factor or a sequence of discriminators rich in GC, while (p)ppGpp do not interact directly with RNA polymerase. In these bacteria, alarmones are important in the transcription of e.g. rRNA, as they regulate the concentration of the nucleotide which initiates this process, that is, GTP [35, 59]. An increase in the content of (p)ppGpp causes a decrease in the level of this nucleotide, which stems not only from the fact that it is used for the production of (p)ppGpp, but also because of the influence of (p)ppGpp on GTP synthesis pathways. It has been demonstrated that in Bacillus subtilis (p)ppGpp inhibit the activity of Gmk and HprT enzymes, which are involved in the production of GTP [60].
It is assumed that guanosine tetraphosphate and guanosine pentaphosphate regulate the metabolism of Gram-positive bacteria, including by means of the CodY transcription factor regulation. CodY is a negative regulator of the expression of over one hundred genes encoding proteins involved in sporulation, adaptation to unfavourable environmental conditions or virulence, during the exponential growth of bacteria, which is characterized by a high level of GTP. In the stationary phase of growth, the RelA enzyme, by reducing the level of GTP for the purpose of producing stringent response alarmones which, in turn, reduce the activity of GmK and HprT, therefore further reducing the level of GTP in a cell, limits the repression of transcription caused by CodY [44, 60, 101].
Stringent response alarmones not only regulate transcription, but also cause a decrease in the efficiency of translation, i.a. by repressing the transcription of machinery associated with protein synthesis, including tRNA, rRNA, as well as genes encoding ribosomal proteins [44, 53]. Furthermore, they reduce the efficiency of translation by interacting with guanosine triphosphatases involved in assembling large (50S) and small (30S) ribosomal subunits into the 70S complex (e.g. BipA, Obg).
The BipA protein is involved in regulating e.g. swarming motility, virulence, symbiosis or biofilm formation. In combination with GTP, this protein is able to bind to the 70S bacterial ribosome at the same site as where it interacts with Ef-G, Ef-Tu and Ef4. As a result of this interaction, BipA is able to regulate the translation process, in particular with regard to proteins involved in the response of bacteria to stress. The involvement of the BipA protein in the biogenesis of ribosomal subunits and assembling the 70S monosome is evidenced by the fact that the bipA E. coli mutant, when growing at a temperature of 20°C, is characterized by a different level of 30S and 50S subunits compared to a wild type strain. Moreover, higher ratio of 30S to 50S subunits and a higher ratio of the content of both these subunits to 70S monosomes were observed. This suggests that BipA is most likely involved in the biogenesis of the 50S subunit. It has also been suggested that this protein performs a vital role in assembling ribosomes, likely by means of regulating the translation of specific mRNAs, whose proteins are involved in this process [21, 61]. In the case when there is an accumulation of alarmones within a cell (e.g. in conditions of amino acid starvation) these nucleotides interact with the BipA protein and effect such conformational changes in it that it does not bind to the 70S ribosome, but to the 30S subunits, which simultaneously prevents the formation of the 70S complex [24, 103].
The Obg proteins are enzymes which are important for the growth of a cell, involved in DNA replication, the biogenesis of ribosomes and adaptation to stress. The ObgE protein is mainly responsible for the correct assembly of the 50S subunit. Furthermore, ObgE, by binding to this subunit, prevents the formation of the 70S complex and, therefore, the initiation of translation. In turn, by interacting with ObgE, stringent response alarmones increase the affinity of this enzyme to the immature 50S subunit, which causes delays in its correct assembly and hinders the formation of the 70S complex [28].
Stringent response alarmones may also hinder the formation of the initiating complex by interacting with the If2 translation initiation factor. At the same site of the If2 factor, GTP or (p)ppGpp can bind, however, the negative charge of pyrophosphate at the position 3’ (p)ppGpp “protrudes” beyond the If2 protein and potentially disrupts its function [102]. In addition, it has been demonstrated that, in in vitro conditions, (p)ppGpp may inhibit the Ef-G [40] and Ef-Tu [84, 102, 103] translation elongation factors.
DNA replication is a process necessary for the duplication of genetic material and cell division, whose ini-whose initiation requires the so-called primers. In bacteria, it is the DnaG primase that is the enzyme which synthesizes these short RNA sequences. It has been demonstrated that in B. subtilis the direct attachment of (p)ppGpp to this enzyme results in the inhibition of DNA replication at the elongation phase [111], while in E. coli this is mostly true only at the initiation phase [68]. Alarmones bind to the DnaG primase in a way similar to standard nucleotides, however, because of the additional phosphate groups, they lead to conformational changes of this protein by causing the above-mentioned effect. Studies have shown that (p)ppGpp inhibits replication by interacting with the primase’s active site [94, 103].
Microarray analyses of gene expression in the wild strain Pectobacterium atrosepticum (formerly Erwinia carotovora ssp. atroseptica) – a Gram-negative bacterium that is a plant pathogen which causes the rotting and diseases of potatoes [9, 11, 83], and the relA deletion mutant during the exponential and early stationary phases of growth have shown that the stringent response is active mainly in conditions of high bacterial density. In the relA mutant, during the exponential phase of growth, changes in expression were recorded only in the case of five genes, whereas in samples taken during the stationary phase, the number of genes whose level of transcripts changed increases to over a thousand (358 – reduction and 930 – increase) compared to the control strain. Transcription in the relA mutant is increased in the case of many genes, which confirms the fact that the high accumulation of (p)ppGpp, characteristic for the stationary phase of bacterial growth, reduces the level of transcription [11]. Among these transcripts, there are those that encode proteins related to DNA replication and cell division, which proves the significant role of the stringent response in regulating these processes. In addition, the expression of genes encoding functions related to translation and the structure of ribosomes is also significantly increased, which may be classified as an observation typical of the “relaxed” response. Surprisingly, genes whose expression increases the most are related to metabolizing branched-chain amino acids. Additionally, the increased expression of citW-citG genes encoding enzymes associated with the catabolism of citrate and the gene encoding the Fis protein, which is a global regulator, [11] was also noted. This regulator causes the transcriptional activation of genes related to translation and transcription, as well as stimulates replication and site-specific recombination [30]. In the case of genes encoding proteins related to cell movement or protein secretion and virulence, a decrease in expression was observed, which indicates the positive influence of stringent response alarmones on these processes. A decrease was also demonstrated in the expression of almost all genes whose products are associated with iron uptake, e.g. by means of the siderophore known as achromobactin, as well as those associated with metabolizing xylose/xylulose and the anaerobic metabolization of formate and assimilation of hydrogen. The greatest reduction in expression was recorded in the case of genes most likely encoding Zn-dependent alcohol dehydrogenases, as well as the LysE-type exporter of amino acids. This indicates that (p)ppGpp influences the processes of fermentation and export of amino acids [11].
The stringent response regulates the production of substances secreted by bacteria, including siderophores, i.e. carriers of iron ions. One of such compounds is pyoverdine, which demonstrates fluorescence and bactericidal properties. In conditions of iron deficiency, its amount is significantly reduced in deletion mutants relA and relA/spoT Pseudomonas syringae – a Gramnegative bacterium that is a pathogen of plants such as bean, soybean or pea, and is elevated in the spoT mutant. It seems, therefore, that (p)ppGpp play the role of transmitters controlling the production of pyoverdine in response to an iron deficiency [19]. Similarly in P. syringae pv. tomato DC3000, in conditions of an iron deficiency, stringent response alarmones enable the production of pyoverdine and in relA, relA/spoT and relA/spoT/fprel deletion mutants (rel – a gene encoding the SAS protein) the level of this siderophore is reduced by between three and ten times [20].
Alarmones demonstrate a significant influence on the metabolism and production of antibiotics in the Gram-positive bacterium Streptomyces coelicolor which belongs to the group of Actinobacteria, just like the Streptomyces scabiei bacterium which causes plant diseases. Streptomyces bacteria live in soil and marine sediments as saprophytes, they are immobile, spread by means of spores and, during the transition from the phase of logarithmic growth to the stationary phase, their metabolism is reprogrammed, which results in the production of various secondary metabolites, e.g. antibiotics (they synthesize 70% of all the known ones). In response to the limited access to amino acids or nitrogen, (p)ppGpp nucleotides accumulate towards the end of the exponential phase of growth, as well as during the so-called transitional phase, and are probably responsible for the production of antibiotics, which confirms the inability of the relA mutant to produce actinorhodin and other metabolites [17, 46].
The stringent response is not only a form of response to a deficiency in nutritional substances, but it is probably induced by many stress factors that influence bacteria, both on the surface and inside of plants, among which the following may be enumerated: UV radiation [48, 54] or fluctuations in temperature [49] and the content of water [77, 107]. Many studies have shown that (p)ppGpp play an extremely important role in numerous processes related to microorganisms adapting to such conditions. This is confirmed for example by the fact that stringent response alarmones control the expression of genes and the activity of proteins encoded by them, involved in regulating the level of H2O2 – a compound that plays a significant role in the response of organisms to stress [23, 57, 69].
Many studies on the contribution of the stringent response to bacterial metabolism have been conducted on the Gram-negative bacterium Pseudomonas aeruginosa, which is a pathogen for not only humans, but also for alfalfa, the thale cress and basil; it causes chloroses, damage and maceration of plant tissues [99], as well as root necroses which ultimately leads to the weakening of plants and even their death, and as a consequence, to a reduction in their yielding [38, 110]. In this bacterium, the defence against the oxidative stress caused by the presence of H2O2 is the responsibility of, i.a., KatA and KatB catalases, which break down hydrogen peroxide into water and oxygen. In bacteria, the katA gene is expressed constitutively and the protein encoded by it is the dominant catalase during the logarithmic phase of growth and, in particular, in the stationary phase, and it plays a role in resistance to H2O2 and virulence. The expression of katB is induced by the exogenous H2O2 [57], as well as by paraquat [89] which induces oxidative stress, by osmotically active substances such as sodium chloride, sucrose, glycerol, mannitol, sorbitol, polyethylene glycol [18] and it influences acquired resistance [57]. In P. aeruginosa, the expression of genes related to the defence against oxidative stress is regulated, i.a., by the Las and Rhl global regulators, as well as by RpoS, the σ subunit of RNA polymerase [42, 57, 105, 108], which is confirmed by the fact that in the rpoS mutant P. aeruginosa catalase activity only amounts to 35% of the activity recorded for cells of the wild type strain [57]. The production of stringent response alarmones is needed for the expression of the gene which encodes the RpoS protein [23, 37]. Therefore, it is not surprising that the relA/spoT mutant (deletion) is also characterized by very low activity of the afore-mentioned catalases – it also reaches 35% of activity compared to the wild type. In turn, in the relA/spoT/rpoS mutant, the activity of these enzymes decreases even more and only amounts to 15% of the activity recorded for the wild type strain. This suggests that the stringent response regulates the activity of catalases, both by regulating the expression of the gene which encodes the RpoS protein, as well as by using other mechanisms [57].
Other studies have demonstrated that the P. aeruginosa relA/spoT deletion mutant is characterized by a reduced activity of superoxide dismutase and catalase, and that it is also more sensitive to oxidants than bacteria of the wild type, which confirms the importance of the stringent response in the proper functioning of the antioxidant system in bacteria [76]. This is also confirmed by other studies that have shown that planktonic (free-living) cells lacking stringent response enzymes demonstrate lower resistance to H2O2 than planktonic cells of the wild type. A similar situation takes place in the case of bacteria that form a biofilm, that is, a certain community of microorganisms growing in an extracellular matrix produced by them, in which bacteria demonstrate an increased resistance to adverse conditions compared to planktonic cells living individually in the environment (biofilm description in Chapter 4.2). Cells lacking stringent response enzymes are characterized by a much higher sensitivity to H2O2 than bacteria of the wild type, which were able to function well in the presence of a 150 times higher concentration of this substance than the concentration with which planktonic bacteria were treated. Moreover, in the cells of the relA/spoT mutant, an increased level of the endogenous H2O2 is recorded, both in those forming a biofilm, as well as in planktonic cells in the stationary phase. Thus, the relA/spoT mutant is unable to maintain a low level of hydrogen peroxide and it is more sensitive to the oxidative stress induced by this molecule. This shows that the stringent response plays a key role in the induction of resistance to oxidative stress in P. aeruginosa [57].
Chatnaparat et al. [19] also noted that the stringent response is required for the tolerance of P. syringae bacteria to hydrogen peroxide. Under the treatment of these bacteria with H2O2 the survival of relA, spoT and relA/spoT mutants was drastically reduced, the survival rate equalled only a few percent, while it amounted to 72.3% in the wild type [19]. The SpoT enzyme acts as a synthase and a hydrolase of stringent response alarmones. However, its main function, to a large extent, is (p)ppGpp hydrolysis. Therefore, both the low survival rate of spoT mutant’s cells, as well as its increased sensitivity to oxidative stress may result from the general, originally low survival of these bacteria, resulting from the excessive accumulation of alarmones [114]. Complementation of relA and relA/spoT mutations by means of relA and relA plus spoT, respectively, gene expression in trans partially restored the resistance of the bacteria to H2O2. However, complementation of the spoT mutation resulted in a still higher sensitivity of cells to this compound [19].
The significant role of (p)ppGpp in tolerance of bacterial cells to hydrogen peroxide was also recorded in P. syringae pv. tomato DC3000. After being exposed to H2O2, less than 5% cells of the relA/spoT/fprel and relA/spoT mutants survived, while 29.5% percent survived of the wild type [20]. Considering the fact that plants produce significant amounts of reactive oxygen species while being attacked by pathogens, including hydrogen peroxide [62], the role of the stringent response in the survival of these microorganisms on the surface or inside plant tissues is exceptionally important.
The research results suggest that pathways of the bacteria’s response to oxidative stress, which are regulated, i.a., by stringent response alarmones, also regulate the bacteria’s resistance to antibiotics. Nguyen et al. [76] demonstrated that stringent response inactivation in P. aeruginosa causes a drastic decrease in resistance to antibiotics, both for cells in conditions of starvation, as well as for those within a biofilm [76]. The P. aeruginosa mutant lacking functional RelA and SpoT proteins is more sensitive to the antibiotic ofloxacin than bacteria of the wild type, which is probably the result of the reduced enzyme activity of the antioxidant system in the mentioned mutant. As a consequence, this causes the accumulation of reactive oxygen species and the death of cells [57]. Chatnaparat et al. [19] also noted that the stringent response is required for the tolerance of P. syringae to antibiotics. They observed that relA and relA/spoT mutants demonstrate increased sensitivity to rifampicin.
In conditions of starvation, that is, ones which induce the stringent response, P. atrosepticum cells obtain increased resistance to numerous stress factors, such as hydrogen peroxide, heat shock or antibiotics. When cells in the logarithmic phase of growth were subjected to oxidative stress induced by H2O2, a significant decrease in their number within six hours was observed. The number of cells subjected to the stress of starvation (at the beginning of the experiment, this number was the same as the number of cells collected in the logarithmic phase of growth) also decreased after treating them with H2O2, however, the number of these bacteria returned to a relatively high state as soon as after approximately two hours. The cells subjected to the stress of starvation were also characterized by a greater resistance to rifampicin and high temperature. The number of cells collected in the logarithmic phase of growth and exposed to elevated temperature (50°C) dropped to zero and did not increase after 24 hours. In turn, in the case of cells subjected to the stress of starvation, their number also decreased under high temperature, however, after some time, it was observed that their number returned to the original value [83].
The stringent response functioning in conditions of starvation allows bacteria to survive in an environment containing antibiotics, i.a., by stimulating the expression of the intI1 gene. This gene is located in integrons, elements of the genome containing cassettes of resistance to antibiotics. It encodes the integrase protein responsible for the insertion or excision of the above-mentioned cassettes, which enables their dissemination and thus raises the resistance of bacteria to antibiotics. Originally, it was thought that it was the SOS response [known to be induced by antibiotics and horizontal gene transfer (e.g. transformation and conjugation)], which influences integron expression. However, increased expression of the intI1 gene in a biofilm, where some of the cells are in starvation conditions, stimulating the production of stringent response alarmones, depends not only on the SOS response, but, as shown by experiments carried out on E. coli, also on other factors. After eliminating the influence of the SOS response, higher expression of the IntI1 encoding gene was still observed in E. coli cells in a biofilm. In order to check the regulation of intI1 expression, mutants lacking global regulators, such as RelA and SpoT or the Lon protease, were constructed. None of the mutants demonstrated any changes in the ability to form a biofilm, but an increase in intI1 expression, characteristic of cells forming a biofilm, was not noticed in them which points to intI1 expression being regulated by (p)ppGpp and the Lon protease. Thus, in the absence of (p)ppGpp, an increase in intI1 expression, and thus, the propagation of cassettes that provide resistance to antibiotics, does not occur [104]. This is another example which proves that the stringent response may increase the adaptation of bacteria to functioning in an environment in which there occur factors that are harmful to them and make it easier for microorganisms to survive on the surface or inside organisms, e.g. plants.
Once they reach a high level of concentration, bacterial cultures modulate their phenotype so as to make it possible for themselves to produce secondary metabolites, enzymes and virulence factors and, therefore, to colonize new niches [93, 113]. Along with an increase in the size of the population, bacterial cells generate molecules known as autoinducers [15] which, produced inside of a cell, are subject to being secreted into the environment. After exceeding the threshold level, autoinducers stimulate the processes leading to a change in the expression of genes that enable the synchronization of bacteria’s metabolism. The process of communication between bacteria, in which the bacteria take advantage of the production and detection of autoinducers in order to monitor the density of the population is called quorum sensing. This phenomenon is important with respect to controlling processes such as biofilm formation, secretion of virulence factors, bioluminescence, production of antibiotics, sporulation, competence and other ones [75].
In the case of Gram-negative Gammaproteobacteria, acyl-HomoSerine Lactones (acyl-HSLs) constitute the main class of autoinducers. They are specific to a given species of bacteria and are only used for the purpose of communication between representatives of the same species [75]. One of the quorum sensing systems is las as well as rhl, which have been investigated comprehensively in P. aeruginosa [75, 78, 80, 81], and tra in Agrobacterium tumefaciens. The latter regulates the transfer of Ti plasmid between bacterial cells via conjugation [33]. These systems consist of autoinducer synthases, designated with the letter “I” at the end of a protein’s name (e.g. LuxI), as well as cytoplasmic receptors of these autoinducers, designated with the “R” symbol (e.g. LuxR) [75].
When the amount of autoinducers exceeds the threshold concentration, in P. aeruginosa the LasR and RhlR transcription regulators are activated, which induce the expression of selected genes, e.g. the ones encoding LasI and RhlI proteins, responsible for the production of autoinducers (stimulating the production of autoinducers by way of a feedback loop), and other proteins significant for pathogenicity or involved in biofilm formation. The las system consists of LasI – the synthase of the autoinducer N-3-oxododecanoylhomoserine lactone (3-oxo-C12-HSL), which activates the LasR protein that simultaneously serves as the receptor of this autoinducer, as well as the activator of transcription of genes responsible for the synthesis of a series of secretory proteins – those associated with bacterial virulence, such as elastase encoded by the lasB gene, protease encoded by the lasA gene, alkaline protease (apr) and the exotoxin A (toxA) [82]. In turn, the rhl system consists of the RhlI protein responsible for the synthesis of N-butanoylhomoserine lactone (C4-HSL) and RhlR, which is the receptor of autoinducers and the activator of transcription [75]. This system stimulates the synthesis of rhamnolipids characterized by their biosurfactant properties, which may have an adverse influence on human cells, as well as survival of other bacteria [2, 39, 51, 63, 95, 116], and the activity of the LasA protein, as well as the expression of the lasB gene, as in the case of the las system [12]. The rhl system also promotes the synthesis of pyocyanin, a blue pigment with oxidoreductive properties, which inhibits the growth of other bacteria [12, 50].
Gram-positive bacteria mainly use modified oligopeptides as inducers [52, 100]. In this case, the signal is received by membrane receptors, and the information is transduced by way of phosphorylation [75].
The phenomenon of quorum sensing is vital for the functioning of both symbiotic and pathogenic microorganisms interacting with plants. There exists much evidence that the stringent response is an important element regulating quorum sensing in these and other bacteria. It has been demonstrated that overexpression of the relA gene in P. aeruginosa causes an increase in the expression of lasR and rhlR genes, encoding proteins significant for the functioning of quorum sensing [108]. Bowden et al. [11] have observed that the relA/spoT P. aeruginosa mutant accumulates the N-3-oxohexa-the N-3-oxohexanoylhomoserine lactone (3-oxo-C6-HSL) autoinducer to a much smaller extent [11]. Interestingly, in P. aeruginosa cells, as many as 40% of the genes regulated by quorum sensing are also regulated by the RpoS factor [96], whose expression depends on the stringent response [37, 108]. The fact of quorum sensing being regulated by the RpoS factor has also been observed in bacterium Ralstonia solanacearum, a plant pathogen [31].
It has been demonstrated that stringent response alarmones also play an important role in relaying the signal related to a change in membrane fluidity, which takes place in response to stress. LPA acyltransferase (LptA) participates in the biosynthesis of phospholipids that are part of cell membranes. It was observed that the P. aeruginosa mutant lacking this enzyme was characterized by reduced bacterial membrane fluidity. During the phase of logarithmic growth, the premature production of quorum sensing autoinducers – N-butanoylhomoserine lactone C4-HSL and N-hexanoylhomoserine lactone C6-HSL – was observed in it. In turn, at the beginning of the stationary phase, a reduced production of PQS (2-heptyl-3-hydroxy-4-quinolone), a signal molecule whose production is regulated by LasR, was observed. The PQS molecule positively influences the expression of lasR, lasB, rhlR, rhlI and rpoS and the level of virulence determinants such as rhamnolipids, LecA and pyocyanin, as well as proteins related to iron uptake [8, 26, 70]. In the phase of logarithmic growth, as well as in the stationary phase, the accumulation of anthranilic acid, a PQS precursor, occured. The increased expression of rhlI, lasI, lasB, as well as a decreased expression of pqsC and pqsA (genes related to PQS synthesis), as well as the increased expression of relA were observed [8]. The increased relA expression in the lptA mutant in the early phases of bacterial growth suggests that the stringent response promotes the synthesis of autoinducers, which in the case of the mutant were produced already in the logarithmic phase. This assumption is partially confirmed by the fact that in the relA mutant which does not produce (p)ppGpp, premature production of C4-HSL and C-6HSL was not observed, similarly as in the double lptA/relA mutant. It is assumed that the accumulation of (p)ppGpp as a form of response to stress, which is accompanied e.g. by changes in the physical condition of the lipid bilayer of the cell membrane, stimulates the production of autoinducers, which, in turn, allows for the formation of biofilm, thus increasing the survival of symbiotic or pathogenic microorganisms on plants, as well as promotes their resistance to antibacterial substances secreted by plants [8].
Another, indirect, piece of evidence that the stringent response and the production of autoinducers are related to each other is the fact that the cells of mutants of the las and rhl systems growing on basil roots are longer than those of the wild type strain [110], which resembles the phenotype of the cells of P. syringae and E. amylovora relA and relA/spoT stringent response mutants [1, 19, 20]. The above information suggests that the accumulation of (p)ppGpp promotes the production of autoinducers, and thus stimulates the las and rhl systems, as well as prevents cells from investing in growth in conditions of high bacterial density.
The pathogenic A. tumefaciens bacterium from the Rhizobiaceae family causes crown gall by inserting a fragment of bacterial DNA (T-DNA) located on the Ti plasmid into a plant’s genome. When T-DNA, which carries genes responsible for e.g. the synthesis of opines, is introduced into a plant’s genome, small organic compounds (opines) are produced in tissues as a result of transformation. Opines indirectly stimulate the expression of the traR gene in bacteria which encodes the protein that promotes the expression of genes dependent on quorum sensing, e.g. the ones that are involved in the production of autoinducers (in order to amplify the quorum sensing response), the replication of Ti plasmids, as well as horizontal transfer of the latter via conjugation. Thanks to this, the “spreading” of plasmids which carry virulence genes, including those enabling the transport of T-DNA to host cells, between bacterial cells is possible. This mechanism raises the pathogenicity of the bacterial population to the host, as well as the efficiency of transformation. Thus, the reduction in the efficiency of quorum sensing negatively affects the development of crown gall [64].
Surprisingly, in A. tumefaciens bacteria in the stationary phase of growth, the level of N-3-oxooctanoyl homoserine lactone (3-oxo-C8-HSL) decreases, and thus, the intercellular quorum sensing communication also decreases. This results from the fact that in the stationary phase of growth, there increases the level of the BlcC protein (also known as AttM), responsible for the degradation of 3-oxo-C8-HSL. This is correlated with the high level of (p)ppGpp which indirectly stimulates the expression of the gene encoding this protein. This is confirmed e.g. by the fact that in the relA mutant, in the stationary phase of growth, the level of BlcC protein does not increase. Until the bacterium enters this phase of growth, the level of the BlcC protein remains low, because it is negatively regulated by the AttJ factor, produced in a cell during its growth. This is confirmed by the results of constitutive expression of blcC in bacteria with a mutation in the attJ gene. This constitutive expression is not dependent on the level of the RelA protein, which suggests that (p)ppGpp do not have a direct influence on blcC expression, but only take part in overcoming the repression of its expression by AttJ [115].
Stringent response alarmones seem to negatively affect the ability of A. tumefaciens bacteria to transfer the Ti plasmid, probably by enabling the expression of the BlcC protein, the enzyme responsible for the degradation of the afore-mentioned autoinducer [115]. However, due to the fact that the metabolites produced by plants at the spots where outgrowths are located can regulate the activity of the BlcC protein in the cells of colonizing bacteria, this activity may depend on the metabolic state of the host [64]. Nevertheless, it seems right that A. tumefaciens used for the transformation of plants should be cultured on a medium rich in all essential nutrients. Moreover, for maximum effectiveness, the transformation of plants should be carried out using bacteria in the logarithmic phase of growth.
The stringent response, by regulating quorum sensing, indirectly influences the functioning of a biofilm. A biofilm (a biological membrane) is a community of microorganisms that grow attached to a certain surface while remaining submerged and connected to each other in the extracellular matrix produced by them, consisting of extracellularly secreted polymeric substances, the so-called EPS (Extracellular Polymeric Substances) – mainly exopolysaccharides, serving as a scaffolding for carbohydrates, proteins, nucleic acids and lipids, protecting them against the influence of external factors [32, 58].
In a biofilm, microorganisms may function in conditions, in which the survival of individual cells would be difficult and, in many cases, even impossible. They also demonstrate characteristics different from cells living in a free form, thanks to e.g. the expression of specific genes in response to quorum sensing autoinducers, which are produced by bacteria living in a biofilm. On the one hand, a biofilm ensures that microorganisms remain attached to the surface of tissues or objects, thus making it difficult to wash them away with water or blood [86]. On the other hand, within the biofilm, bacteria are protected against desiccation, the host’s immune system, antibacterial substances, or being digested by protozoans or leukocytes [88]. Within this structure, there prevail conditions of limited oxygen and nutrient accessibility, therefore, cells are characterized by a slow rate of metabolism and growth. As a result, the bacteria are less susceptible to antibiotics, which are known to target dividing cells [86].
A biofilm demonstrates the spatial and temporal distribution of subpopulations involved in processes such as sporulation and matrix formation. There, some bacterial cells constitute reservoirs of pathogens, which may be reactivated in favourable environmental conditions, the so-called persister cells [56]. A biofilm, by reducing the mobility of bacteria and increasing their density on a specific surface, facilitates the exchange of plasmids by way of conjugation, and may also contribute to the spreading of resistance to antibiotics [45, 86].
Apart from the afore-mentioned indirect role of the stringent response in regulating the metabolism of biofilm-forming bacteria by stimulating quorum sensing, the accumulation of (p)ppGpp also seems to affect the formation of this structure directly, by regulating the synthesis of exopolysaccharides. Ruffing and Chen [92] noted that in the Gram-negative bacterium Agrobacterium sp. ATCC 31749, the stringent response is essential for the biosynthesis of a curdlan, a glucose polymer. It is suspected that this exopolysaccharide performs a protective function in microorganisms, but its participation in any important process has not been confirmed thus far. This compound is used in the construction and food industries. This is likely a compound that is important for the functioning of these bacteria because its synthesis takes place in response to a deficiency in nitrogen, similarly to other sugar polymers important for the structure of a biofilm. Furthermore, like with other exopolysaccharides, its highest concentration is observed in the stationary phase of growth. Analysis of the transcriptome of Agrobacterium sp. ATCC 31749 in conditions of a nitrogen deficiency – in the stationary phase of growth, showed that gene expression of the operon of curdlan production, crdASC, increased by 100 times compared to the logarithmic phase of growth of these bacteria. During the production of curdlan, there also increases the expression of the gene encoding the RelA and SpoT homologue (rsh). In similar conditions, the rsh mutant (insertion knock-out) demonstrates a 57 times lower expression of the crdS gene encoding the catalytic subunit of the β-1,3-glucan synthase involved in the production of curdlan compared to the wild type strain, as well as a total lack of curdlan accumulation [92]. In turn, a mutant lacking the RpoN RNA polymerase subunit, a regulator of transcription in conditions of a nitrogen deficiency e.g. in E. coli [65], produces approximately 30% more curdlan than bacteria of the wild type. This may indicate that the production of curdlan does not depend on RpoN, and, moreover, that the lack of a functional RpoN polypeptide enables a faster and/or more stable binding of σ factors other than RpoN (the production and functioning of which very often requires the presence of stringent response alarmones [23]) to the core of the RNA polymerase, which allows for a more intensive production of curdlan [92]. The lower expression of the crdS gene in the rsh mutant and the lack of curdlan production confirm that the stringent response plays an important role in the production of this polymer, which is most likely involved in the formation of a biofilm.
The stringent response has an impact not only on the expression of a gene essential for the synthesis of curdlan but also impedes the activity of an indirect inhibitor of this polymer’s synthesis, namely the Ppx polyphosphatase which decomposes polyphosphate in cells. Due to the fact that the biosynthesis of curdlan is a process which requires much energy, polyphosphate may serve as its source. The accumulation of polyphosphate in Agrobacterium sp. ATCC 31749 increases in stress conditions and in the stationary phase of growth, which is correlated with the high level of (p)ppGpp and curdlan. Stringent response alarmones, by inhibiting the activity of polyphosphatase, maintain a high level of polyphosphate, thus allowing for the synthesis of curdlan, which explains its high level in the stationary phase of Agrobacterium sp. ATCC 31749 growth. The described research results confirm the involvement of stringent response alarmones in the synthesis of exopolysaccharides and the regulation of the metabolism of microorganisms in conditions of a deficiency in nutritional substances [92]. Therefore, it seems that the use of bactericides may be effective when cells are in the logarithmic phase of growth, characterized by the low intensity in the production of (p)ppGpp, and, consequently, the low level of exopolysaccharides, important for the formation of a stable biofilm structure.
Examples of research on the function of the stringent response in biofilm formation include experiments carried out on the Gram-positive pathogenic bacteria Listeria monocytogenes which causes the occurrence of listeriosis in humans, manifested by aliments of the digestive system (vomiting, diarrhoea and high fever). The bacterium L. monocytogenes is capable of adhering to and forming biofilm on various surfaces, on food or on plants. It has been demonstrated that the attachment of L. monocytogenes cells to a hydrophobic surface – polystyrene, correlates with the heightened level of expression of the relA gene. The L. monocytogenes mutant with an insertion in this gene is characterized by a lesser ability to adhere to the afore-mentioned surface and limited growth after attaching to the surface. Furthermore, the mutant is avirulent to mice, although the haemolytic activity and the composition of proteins secreted by the bacterium remain unchanged. The result of the experiment provides evidence of the important role of guanosine tetraphosphate and guanosine pentaphosphate in the development of a biofilm by L. monocytogenes and the pathogenicity of the bacterium [106]. It may be suspected that in other Grampositive bacteria, e.g. from the Clavibacter genus, which cause plant diseases [72], the stringent response also plays an important role in adapting to the adverse conditions prevailing on the organisms being attacked. The formation of biofilm is one of such adaptations. Therefore, directing the production of bactericides at elements of bacterial stringent response seems to be of great importance for agricultural production.
Swarming motility is the synchronized movement of bacteria equipped with flagella and located in a population characterized by high density that allows the established “bacterial raft” to move about in the environment. This constitutes an alternative to biofilm in which bacteria demonstrate reduced mobility [55]. In most bacteria, this motility requires the presence of a biosurfactant, which reduces surface tension and allows for the rapid expansion of colonies. In populations of bacteria that perform swarming motility, increased resistance to numerous antibiotics has been observed, which results not only from the fact that they were in an environment characterized by high bacterial density, but also from their ability to “escape” from a place with a high concentration of antibacterial substances [14]. The presence of guanosine tetraphosphate and guanosine pentaphosphate seems to be necessary for the bacteria to be able to perform swarming motility. P. syringae mutants lacking stringent response enzymes do not demonstrate swarming motility, which is probably due to the lack of RelA- and SpoT-dependent expression of the gene encoding the SalA protein, which positively regulates SyfA and SyfR, proteins involved in the production of syringafactin, a biosurfactant important for the performance of swarming motility. The overexpression of the salA gene in relA, spoT and relA/spoT mutants results in a partial restoration of the ability to perform this motility. However, in bacteria of the wild type with salA overexpression, reduced swarming motility is observed, which is characterized by a different morphology. According to researchers, this is most likely due to the fact that regulating the SalA protein is not the only way in which the stringent response regulates swarming motility [19]. The P. syringae pv. tomato DC 3000 relA/spoT/fprel mutant also does not have the ability to perform swarming motility, while relA and relA/spoT mutants demonstrate a reduced ability to perform this process. The complementation of mutations with the relA or fprel genes in the relA/spot/fprel mutant partially restores swarming motility, while, surprisingly, the complementation of relA/spoT mutations by means of expressing the relA or spoT genes in trans results in the presence of a more reduced swarming motility [20].
The stringent response is the reaction of bacteria to stress, and its effectors are guanosine tetraphosphate and guanosine pentaphosphate, synthesized by the RelA, SpoT and RSH enzymes. The RelA enzyme is activated in response to a deficiency in amino acids, which is manifested by the presence of deacylated tRNA in a cell. The SpoT enzyme is a bifunctional protein – it is a synthase and hydrolase of stringent response alarmones (Fig. 2). Alarmones regulate transcription and the accompanying DNA repair, translation and DNA replication. These nucleotides play an extremely important role in regulating physiological processes and adapting bacteria to unfavourable environmental conditions. This may be evidenced by their impact not only on the expression of many genes, but also on the production of secondary metabolites. Stringent response alarmones are involved in the regulation of cell growth, the production of antibiotics and siderophores, the induction of bacteria’s resistance to H2O2 and antibiotics, the synthesis of quorum sensing (i.e. a form of communication and detecting the density of the population by bacteria) autoinducers, as well as the biosynthesis of compounds that seem to be important for the formation of a biofilm, that is, a bacterial community immersed in the extracellular matrix, which demonstrates increased resistance to stress conditions, or in the regulation of the bacteria’s swarming motility (Fig. 2).

The stringent response and its involvement in the response of bacteria to stress.
Description included in the summary. Pentagon – a positive influence of (p)ppGpp on a given process, prohibition sign – a negative influence of (p)ppGpp on a given process.